Resumen
En ciudades históricas, es usual encontrar museos albergados en edificios antiguos que no fueron creados para preservar objetos patrimoniales y por tanto la conservación preventiva incluye tanto a las colecciones como al edificio mismo. Las posibilidades de crear un ambiente estable para la conservación del patrimonio se reducen ya que no es posible modificar las características arquitectónicas y la instalación de equipos de acondicionamiento ambiental puede afectar la integridad física del edificio. Por lo tanto, el deterioro ocasionado dependerá de la sensibilidad material de cada objeto.
Se presenta una metodología para evaluar la calidad medioambiental en casas-museo –caso del Museo Casa Histórica de la Independencia– incorporando el índice de rendimiento (PI) que pondera el tiempo en que las variables y sus fluctuaciones se mantienen en el área segura. Se analizó el comportamiento higrotérmico en 2010-2014 y las condiciones higrotérmicas y de iluminación de dos objetos en otoño de 2013.
Los resultados indicaron que el comportamiento higrotérmico en salas no acondicionadas depende principalmente de las variaciones estacionales exteriores y que se debe considerar con especial cuidado la iluminancia acumulada para evitar daños en objetos altamente sensibles por iluminación excesiva.
Introducción
En Argentina, como en América Latina, el adobe ha sido utilizado como material para la construcción de viviendas durante miles de años por sus propiedades térmicas y su bajo costo de fabricación. Una de las principales ventajas es su capacidad como aislante térmico con un coeficiente de conductividad térmica de entre 0,45 y 0,8 W/mK resultando aproximadamente cuatro veces más aislante que el ladrillo macizo industrial; sin embargo, puede absorber la humedad atmosférica cuando el aire se satura perdiendo así resistencia a los esfuerzos, aun los de su propio peso. En la actualidad, muchos de los edificios museos del norte argentino construidos en base a este material se encuentran fuertemente deteriorados, lo que ha afectado en mayor o menor medida a los objetos expuestos dado que la envolvente ha perdido su capacidad de protección frente a las condiciones externas. Se crea así un conflicto entre las condiciones ambientales adecuadas para la exposición de objetos de diferente composición material (orgánica e inorgánica) y las confortables para los visitantes de museos. Cualquier perturbación ambiental contribuye al proceso de deterioro de los objetos y obras de arte.
Las normas técnicas y regulaciones afines son esenciales para evaluar los valores óptimos de los parámetros físicos en los espacios de exhibición. La Sociedad Americana de Ingenieros de Aire Acondicionado, Refrigeración y Calor (ASHRAE, por sus siglas en inglés ‘American Society of Heating, Refrigerating and Air Conditioning Engineers’) clasifica a los edificios históricos como clase B y recomienda fijar una temperatura de entre quince y veinticinco grados centígrados (15 y 25 °C) con fluctuaciones máximas diarias de cinco grados centígrados (5 °C) y una humedad relativa de entre cuarenta y sesenta por ciento (40 y 60%) con una fluctuación máxima diaria del diez por ciento (10%) para la mayoría de los materiales hallados en los museos. Respecto de la radiación electromagnética, la CIE clasifica a los materiales como “sensibilidad alta” (sedas, papel periódico, cintas de video, fotografías a color, etc.) y recomienda cincuenta (50) lux con una dosis de exposición máxima anual de quince mil (15.000) horas lux; “sensibilidad media” (pasteles, acuarelas, tapices, dibujos o impresos, telas, textiles, manuscritos, piel, plumas, etcétera): cincuenta (50) lux y ciento cincuenta mil (150.000) horas lux por año; “sensibilidad baja” (óleos y temperas, frescos, cuero y madera sin teñir, hueso, marfil, etcétera): doscientos (200) lux con seiscientos mil (600.000) horas lux por año, y “no sensibles” (metales y vidrios, piedra, cerámicas, minerales, etcétera): niveles ilimitados de iluminación y dosis de exposición anual. En todos los casos, las radiaciones ultravioletas e infrarrojas deben evitarse estrictamente.
El propósito de este trabajo es presentar una metodología para evaluar la calidad medioambiental en casas-museo. Dos estudios se llevaron a cabo durante el periodo 2010-2014 en uno de los museos más emblemáticos de la Argentina, el Museo Casa Histórica de la Independencia (MCHI). El primero, en relación a las condiciones higrotérmicas del edificio y el segundo, al grado de adecuación de las condiciones higrotérmicas y de iluminación a dos objetos específicos durante el otoño del 2013.
Metodología para la evaluación de la calidad medioambiental
Generalidades
Tiene como objetivo analizar el grado de adaptación de los niveles de temperatura (T), humedad relativa (HR) e iluminancia (E) de un espacio expositivo con los límites seguros establecidos por los estándares de conservación. El periodo de monitoreo puede ser de corto plazo (por ejemplo, una semana), mediano plazo (una semana en diferentes estaciones) o largo plazo (un año).
Los datos más relevantes en el análisis de las condiciones ambientales son:
-
Valores medios diarios (HRd, Td), mensuales (HRm, Tm) y anuales (HRy, Ty).
-
Fluctuaciones medias diarias (HRd, Td) y mensuales (HRm, Tm): diferencia entre el valor medio máximo y el valor medio mínimo.
-
Valores máximos y mínimos absolutos durante el periodo de estudio.
-
Índice de rendimiento (PI), definido como el porcentaje de tiempo en que los parámetros medidos se encuentran dentro del rango requerido y se calcula para cada parámetro microclimático o bien para dos parámetros juntos (por ejemplo, temperatura y humedad relativa).
-
Capacidad amortiguadora de la envolvente edificatoria: evalúa los intercambios de temperatura y humedad relativa entre el medio exterior y el interior, y su capacidad para amortiguar las fluctuaciones ambientales ocasionadas por las condiciones meteorológicas.
-
Niveles máximos de iluminancia y dosis de exposición integrada en el tiempo, consideradas de suma importancia debido al carácter acumulativo de su influencia, es decir, tasas de iluminancia en lux por hora (diarios, semanales, mensuales o anuales).
Figura 1. Fanal de santos “San José y la Virgen” (siglo XIX) en la sala 5 | Figura 2. Pintura al óleo sobre tela. Francisco Narciso Laprida (siglo XVIII) en la sala 8
Descripción del caso de estudio
La metodología propuesta fue aplicada para evaluar la calidad medioambiental del museo (1760-1780) a través de diferentes estaciones.
En sus inicios, se trataba de una casa construida con muros de tierra apisonada –tapial– y adobes, solo una pequeña parte había sido construida con ladrillos. El clima lluvioso y las características de los materiales contribuyeron a un deterioro permanente que en 1904 llevó a la demolición total del edificio conservándose solo el Salón de la Jura. En 1941, la casa se declaró Monumento Histórico Nacional y se iniciaron los proyectos que llevarían a su reconstrucción ya con muros de ladrillos.
Actualmente, el museo no cuenta con sistemas de acondicionamiento ambiental y la iluminación artificial consiste en lámparas incandescentes halógenas de cincuenta watts (50 W) dimerizadas. La luz natural es reducida puesto que las puertas y ventanas permanecen cerradas, a excepción de las empleadas en el recorrido de la muestra.
Dos estudios experimentales se llevaron a cabo en la sala 5 “Tucumán del 1816” (catorce metros cuadrados —14 m2—) y la sala 8 “Salón de la Jura” (noventa y tres metros cuadrados —93 m2—) del museo.
El primero evalúa el comportamiento higrotérmico del edificio en el periodo 2010-2014. Para ello, se empleó un termohigrómetro TES-1365 previamente calibrado en los rangos de veinte grados centígrados bajo cero a sesenta (-20 a 60 °C) de temperatura y uno a noventa y nueve por ciento (1 a 99%) de humedad relativa (con cero coma ocho grados y tres por ciento —0,8 °C y 3%— de margen de error), con el fin de recolectar datos a las ocho, trece y diecisiete treinta horas (8:00, 13:00 y 17:30 h).
El segundo evalúa el grado de adaptación de las condiciones ambientales a los requerimientos de dos objetos específicos en otoño de 2013.
En la sala 5, se escogió un conjunto de imágenes de San José y la Virgen (del siglo XIX). Los santos visten de seda con bordados y detalles en perlas. Se encuentra protegido por un fanal de cristal y posee una base de madera recubierta por una lámina de cobre repujada con motivos orgánicos (figura 1). Tiene como materiales constitutivos la madera y los textiles (seda e hilos dorados) los que se atribuyen a las categorías de sensibilidad media y alta.
Figura 3. Ubicación de puntos de medición sobre el fanal de santos en sala 5 | Figura 4. Ubicación de puntos de medición sobre pintura al óleo en sala 8
En la sala 8, se escogió una pintura al óleo (siglo XVIII) denominada "Francisco Narciso de Laprida" (figura 2). Posee marco de madera, sin vidrio protector. Sus materiales constitutivos son la madera, la tela y el óleo, los que se atribuyen a la categoría de sensibilidad media.
En este caso, se instalaron un TES adicional y un luxómetro Minolta T-1M para registrar temperatura, humedad relativa e iluminancia a las ocho y a las trece horas (8:00 y 13:00 h) en ambas salas. La iluminancia se midió sobre cada objeto en cuatro puntos (P1, P2, P3 y P4) con el fin de analizar la distribución de los niveles de iluminación y la dosis de exposición acumulada en el periodo de estudio (figuras 3 y 4). Durante el periodo de monitoreo se mantuvieron fijas las condiciones de iluminación y la ubicación de los objetos.
Aplicación de la metodología para la evaluación de la calidad medioambiental
Resultados de la cualificación higrotérmica durante el periodo 2010-2014
El objetivo fue analizar los resultados de temperatura y humedad relativa de las salas 5 y 8. Los valores estadísticos de un análisis de varianza –MANOVA–con cinco factores (sala, año, mes, día y hora del día) durante el periodo 2010-2014 se presentan en la tabla 1.

Tabla 1. Resultados estadísticos –MANOVA– para temperatura y humedad relativa. Valor P menor a 0,05
El análisis estadístico indica que el factor fuertemente significativo es el mes, resultando la sala y el día factores muy poco significativos, en ambos casos. Un test post-ANOVA –Turkey test– indicó que hay diferencias estadísticamente significativas para temperatura entre las ocho (8:00 h) y el resto de las horas y, para humedad relativa entre el año 2013 y los otros restantes.
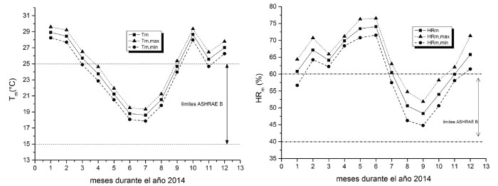
Figura 5. Variación mensual de temperature (a) y humedad relative (b) en 2014
Como consecuencia de lo anterior, se analizan solo los comportamientos mensuales higrotérmicos durante el año 2014 –elegido por ser el más reciente a las condiciones ambientales actuales–. Las figuras 5 a y b muestran los valores medios, medios máximos y medios mínimos para temperatura y humedad relativa en el año 2014 con independencia de la sala.
La temperatura fue máxima durante enero-febrero y mínima durante junio-julio con saltos importantes de marzo a julio, en donde la temperatura comienza a incrementar con diferencias significativas hasta octubre, como consecuencia de los cambios estacionales. La humedad relativa fue máxima en mayo-junio y mínima en agosto-septiembre, presentando saltos de junio a agosto. Solo en agosto de 2014, temperatura y humedad relativa cumplen con los límites seguros.
Análisis de la capacidad amortiguadora de la envolvente edificatoria
Para evaluar la influencia de las condiciones climáticas en las condiciones ambientales del museo, se comparan –en este caso– las curvas de evolución del comportamiento de temperatura en el exterior en relación a la temperatura en el interior del edificio durante 2014.
Los resultados indicaron que la temperatura media (Tm) en el interior del museo fue mayor que en el exterior durante todo el 2014 –por ejemplo, en marzo de 2014 la temperatura media se mantuvo nueve grados centígrados (9 °C) por encima de la registrada en el exterior– es decir, que las salas son propensas a mantener la inercia térmica si no se cuenta con un sistema de ventilación adecuado.
Resultados de las condiciones ambientales al patrimonio expuesto
Se presentan los resultados del análisis de las condiciones de exposición de temperatura, humedad relativa e iluminancia para el fanal de santos (sala 5) y la pintura al óleo (sala 8), durante los meses de otoño del 2013. Los valores estadísticos del análisis de varianza –MANOVA– con tres factores (sala, día y hora del día) para temperatura y humedad relativa se presentan en la tabla 2 y figura 6.

Tabla 2. Resultados estadísticos para temperatura y humedad relativa en otoño de 2013. Valor P menor a 0,05
El análisis estadístico indica que el factor fuertemente significativo es la hora y luego el día, resultando en ambos casos la sala un factor no significativo. Lo anterior se puede atribuir a las características constructivas, el tipo de ventilación e iluminación artificial.
Figura 6. Índice global PI para los factores higrotérmicos de temperature y humedad relative diarios en otoño de 2013
La figura 6 permite visualizar la proporción de datos diarios de temperatura y humedad relativa (Td y HRd) que se encuentran dentro de los límites establecidos por ASHRAE en otoño del 2013.
El índice de rendimiento permite estudiar el efecto del daño analizando el porcentaje de tiempo en que las condiciones higrotérmicas se mantuvieron dentro del área segura. Así, solo el diez por ciento (10%) de los datos se encuentran dentro de los límites de temperatura y humedad relativa establecidos por ASHRAE (cuadrante I); en los restantes cuadrantes cumplen solo temperatura, humedad relativa o ninguna.
En el caso de los objetos analizados, los cuadrantes II y IV resultan los más críticos por los altos contenidos de humedad relativa. El vapor de agua contenido en el ambiente puede ser absorbido por materiales tales como la madera y la tela, materiales constituyentes de los objetos seleccionados. Los altos niveles de temperatura del cuadrante I se relacionan con la dilatación de los objetos como las pinturas al óleo, el reblandecimiento de los adhesivos de los soportes y la expectativa de vida de un objeto: por cada cinco grados centígrados (5 °C) que se eleve la temperatura de un objeto, se reduce a la mitad su expectativa de vida, y viceversa.
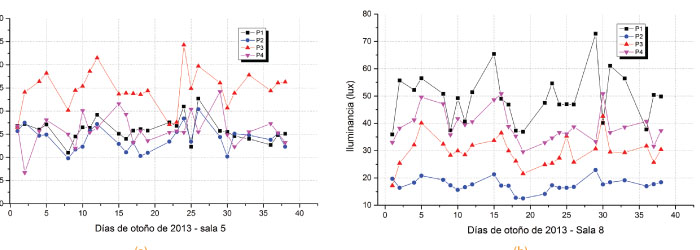
Figura 7. a) Variación de la iluminancia en cada punto de medición del fanal de imágenes de la sala 5 (a) y de la pintura al óleo de la sala 8 (b) en otoño 2013
Respecto de la iluminancia artificial, los datos indicaron que en ambas salas existe una variación horaria significativa en los niveles alcanzados en cada punto de medición y, en menor medida, una variación diaria, lo que podría atribuirse a falencias en el sistema de iluminación eléctrico ya que la iluminación natural es nula y las condiciones de iluminación se mantuvieron constantes a lo largo del periodo analizado. Las figuras 7 a y b muestran la variación de la iluminación sobre cada objeto en febrero-abril de 2013.
Se observa en general que los niveles de iluminancia no son uniformes y son menores a cien (100) lux diarios en promedio. En el caso de la sala 5, la dosis máxima acumulada por día –P3– durante otoño del 2013 fue de doscientos setenta y ocho (278) lux, lo que implica una dosis acumulada anual en promedio de cien mil (100.000) lux por año. En la sala 8, la dosis máxima acumulada por día –P1– durante el mismo periodo fue de trescientos noventa y cinco (395) lux, lo que significa una dosis acumulada anual en promedio de ciento cuarenta y dos mil (142.000) hora lux por año considerando ocho horas de exposición a la iluminación.
En el caso del fanal de imágenes –sensibilidad media y alta– la dosis de exposición anual supera el máximo recomendado para la seda, por lo que se recomienda disminuir los niveles o exponer en forma temporaria el objeto para evitar el decoloramiento o la fragilidad de sus fibras. En el caso de la pintura, la dosis de exposición anual se encuentra dentro de lo permitido para materiales de sensibilidad media.
Conclusiones
Se propuso un procedimiento para evaluar la calidad ambiental de objetos en exhibición: se aplica a la calificación higrotérmica de dos salas de exposición permanente en una casa-museo construida en base a adobe y ladrillos. El enfoque se centra en el monitoreo de los parámetros de temperatura, humedad relativa e iluminancia en el corto, mediano y largo plazo. Los datos medidos son elaborados en término de valores medios diarios y mensuales y la evaluación de la calidad ambiental está dada por el índice de rendimiento y los límites establecidos como seguros según ASHRAE y CIE.
En particular, para el museo analizado, las condiciones ambientales criticas –en término de calidad higrotérmica– coinciden con las variaciones climáticas. Esta situación se acentúa en edificios construidos con adobe y más aún en edificios patrimoniales que no cuentan con sistemas de acondicionamiento ambiental. Si bien los niveles de iluminación en el periodo de otoño de 2013 se encuentran dentro de los límites especificados por la CIE, se debe prestar especial cuidado en la dosis de exposición anual para evitar deterioros por iluminación acumulada.
El análisis del entorno interior a través de la metodología propuesta permite evaluar la calidad del medioambiente que está en contacto con el patrimonio expuesto, y planificar así las acciones encaminadas a mejorar la conservación del patrimonio de acuerdo a las potencialidades del edificio.
Bibliografía
Nota del editor: La nota técnica aquí publicada está respaldada por una extensa bibliografía cuyas referencias no se publican por normas editoriales. Por consultas de esta índole o cualquier otra acerca de la temática tratada, consultar a la autora. |